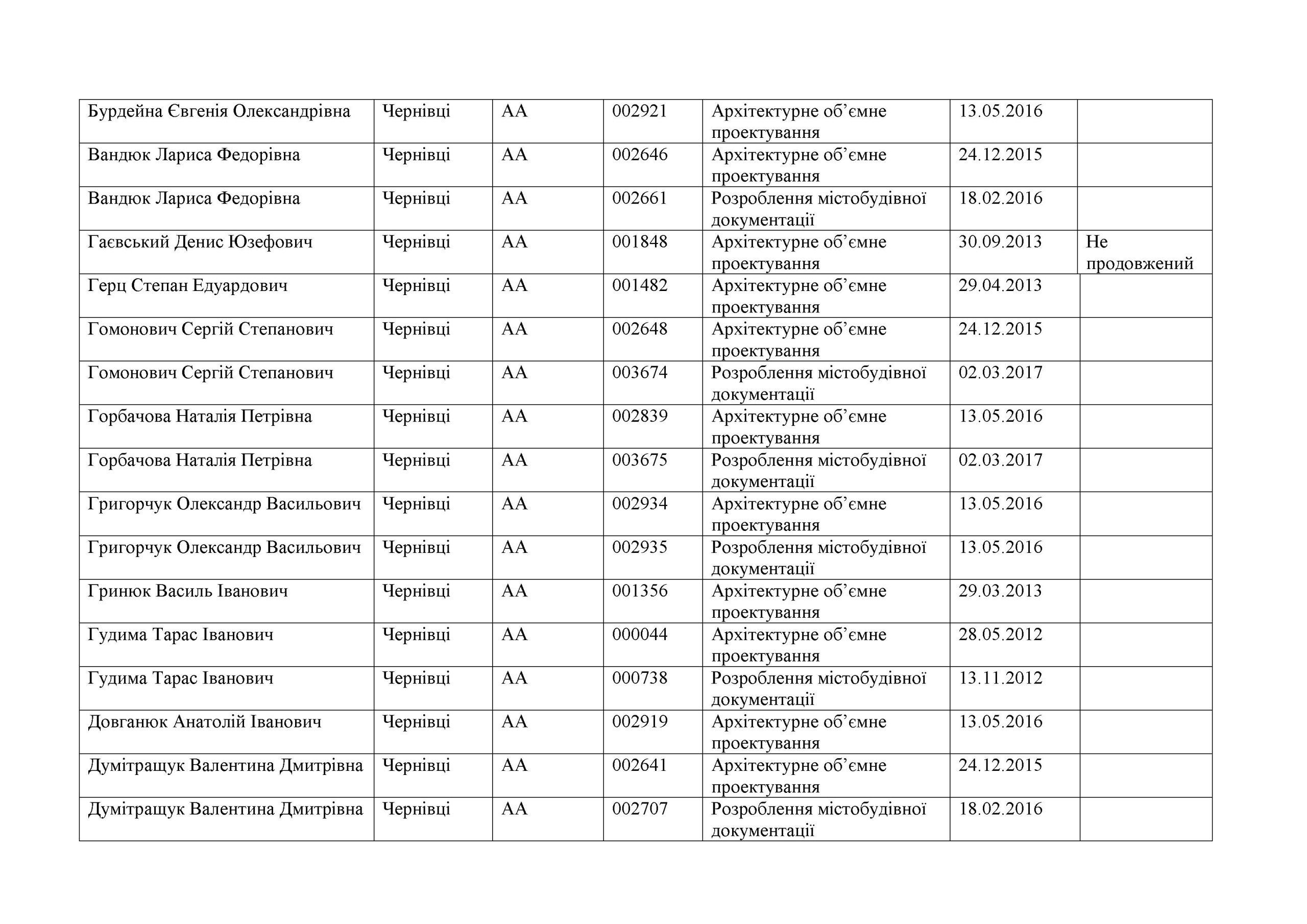
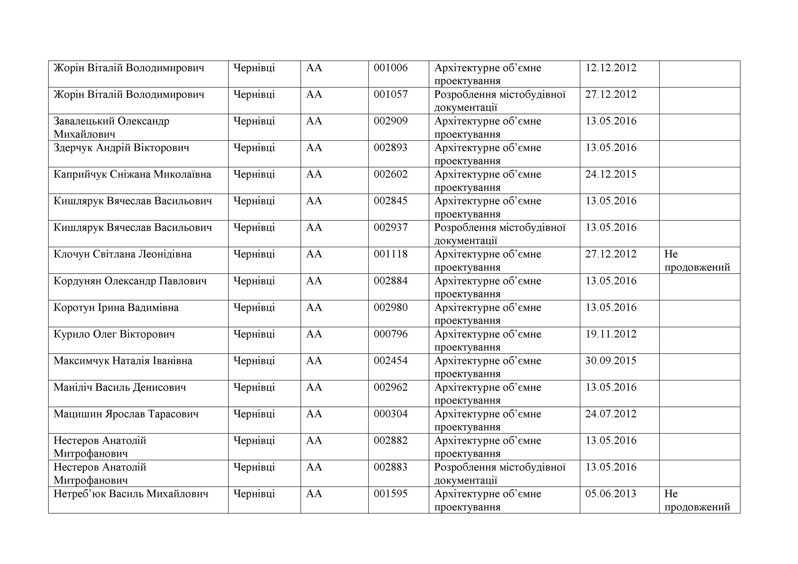
До МО НСАУ в Чернівецькій області надійшло звернення від ДМБК та ЗВ Чернівецької міської ради
щодо оновлення даних атестованих архітекторів.
У зв’язку з чим просимо всіх атестованих архітекторів у Чернівецькій області надати інформацію до 01 лютого 2020 року до 203 кабінету Департаменту або за ел. адресою natali.arhitekt@gmail.com
ІНФОРМАЦІЮ ЯКУ НЕОБХІДНО НАДІСЛАТИ:
– заповнену та підписану Згоду на обробку персональних даних
– звірити та підтвердити чинність сертифікату(-ів)
– заповнену та підписану Згоду на обробку персональних даних
– звірити та підтвердити чинність сертифікату(-ів)
– вказати назву організації в якій здійснюється проектна діяльність (за бажанням)
– адреса та номери телефонів проектної організації (за бажанням)



















